新型空氣呼吸器指針壓力表數字化檢測裝置
簡要分析了相關文獻專利中的壓力數字化技術、公安消防部隊現有空氣呼吸器的情況以及目前消防裝備市場部分帶有 壓力平視顯示裝置的空氣呼吸器情況。開發了一種掃描式空氣呼吸器指針壓力表數字化檢測裝置,該裝置可加裝于普通空氣呼吸 器指針壓力表上,實現壓力的數字化檢測,從而可具有壓力的平視顯示或其他功能,無需改變空氣呼吸器原有結構和安全特性,也 不影響其原有功能,通過低功耗設計和自動開關機設計使得裝置更貼近實戰化需求。
0.引言
正壓式消防空氣呼吸器的壓力平視顯示功能對于 消防部隊在實戰中的作用日益凸顯,2013年公安部發 布了公共安全行業標準——《正壓式消防空氣呼吸 器》GA 124-2013[1],該標準代替了原標準GA124- 2004,與GA 124-2004相比的技術變化中,增加了電 子壓力表的性能要求以及增加了壓力平視顯示裝置的 性能要求及試驗方法。在《城市消防站建設標準》(建 標152-2011)中⑴,正壓式消防空氣呼吸器的配備標 準是1具/人,普通消防站備份比為5: 1,特勤消防站 備份比4:1,公安現役消防部隊配備了大量的正壓式 消防空氣呼吸器。
除了一些經濟發展較好地區的消防部隊采購了一 部分智能型空氣呼吸器外w,目前大部分消防部隊其 他空氣呼吸器采用的還都是指針式壓力表。從經濟性 角度,部隊亦不可能將現役普通空氣呼吸器全部更換 為帶有壓力平視顯示裝置的新型空氣呼吸器。文獻和文獻中提出了一種空氣呼吸器指針壓力表 數字化裝置,這種方式要求該裝置先開機持續檢測,再 開啟氣瓶工作,實現對氣瓶壓力分段數字化。此外檢 測過程中,若有短暫干擾或中斷,則會影響后續的檢測 結果。
本文結合以上現狀和相關技術的不足之處,提出 了一種掃描式空氣呼吸器指針壓力表數字化檢測裝置 的設計方案,實現對空氣壓力的數字化檢測,可廣泛應 用于對公安消防部隊現役普通空氣呼吸器的升級改 造,從而實現壓力的數字化檢測、壓力平視顯示及其他 功能。
1.指針壓力表數字化檢測部分設計
目前,智能空氣呼吸器多為在空氣呼吸器高壓氣 路上增加壓力變送器,利用壓力變送器直接將髙壓部 分轉換為電信號,或者采用電子和機械雙功能的壓力表來轉換為電信號,用以提供給壓力平視顯示及其他 功能。本文提出一種掃描式空氣呼吸器指針壓力表數 字化檢測裝置,該裝置直接安裝于指針壓力表的表面, 主要由光電傳感器、掃描機構和微處理器等組成。光 電傳感器與搖桿連接,位于指針壓力表表面’在掃描機 構的帶動下,光電傳感器沿指針運動軌跡進行掃描,感 應指針位置,根據掃描到指針的位置進行壓力值的換 算。由于掃描式檢測裝置具有可以重復主動檢測壓力 表指針的優點,故在受到意外干擾時,在下一次的正常 測量中即可得到修正。此外,在消防員需要査看壓力 表指針示值時,無需拆下檢測裝置’只需要在掃描式壓 力檢測裝置對應的指針位置開設可開閉的觀察窗口, 打開觀察窗點亮照明,即可實現直接觀察壓力表示值。
光電傳感器可采用反射式紅外光電傳感器,通過 合理配置其外圍偏置電路使得光電傳感器置于壓力表 指針上方時,有較為顯著地輸出變化。微處理器控制 掃描機構按一定的步距角進行掃描,光電傳感器在搖 桿的帶動下沿指針運行軌跡運動,微處理器通過AD 轉換讀取光電傳感器輸出值,其電路示意框圖如圖1 所示。
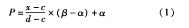
掃描機構可以由伺服電機、步進電機或其他驅動 部件等組成,下面以步進電機作為掃描機構為例來說 明具體工作流程。光電傳感器安裝在與步進電機軸連 接的搖桿上,將步進電機軸對準壓力表指針的軸位置, 光電傳感器在搖桿帶動下即可沿指針運動軌跡進行掃 描,注意光電傳感器要位于指針中后部,防止光電傳感 器檢測到指針尾端造成錯誤。微處理器控制步進電機 按一定的步距角進行掃描轉動,可以對步進電機進行 細分驅動,以獲得較高的檢測精度和較好的重復性。 當步進電機轉動到一個實際的步距角位置時暫停,微 處理器讀取光電傳感器的接收電壓進行采集并按順序 記錄到電壓數組中;記錄后,微處理器繼續控制步進電 機轉動一個步距角并暫停,同樣對光電傳感器接收電 壓進行采集并按順序記錄到電壓數組中,如此反復直 到對壓力表中需要的量程位置掃描完畢,此時微處理 器可控制步進電機回到初始位置等待下一次掃描。微 處理器對掃描范圍內采集的接收電壓數組進行比較, 電壓數組中的最值即為光電傳感器對準指針時的檢測 值,而這個最值在電壓數組中的位置I即對應了壓力 表指針的位置P(即儀表盤示值),計算公式如下:
其中,參數a^、c、d通過校準來預先確定,方法如 下:給定某標準壓力a(單位MPa),壓力表指針指示到 相應位置,此時讓本裝置進行掃描,其中采集電壓的最 值所在數組中的位置c即對應為~再給定另一個標 準壓力/3(單位MPa),同樣進行掃描,其中采集電壓的 最值所在數組中的位置d即對應為盧。
2.低功耗及自動開關機功能設計
隨著科技的不斷發展,消防員身上攜帶的電子裝 備越來越多,而電子裝備一般都需要手動進行開關機、 充電或更換電池,帶來很多操作上的不便,故數字化消 防裝備的低功耗設計和自動開關機設計具有很現實的 意義。本文中所提出的新型空氣呼吸器指針壓力表數 字化檢測裝置中,對主要部分進行能耗分析如下:
(1)耗電量最大的部分是作為機電部件的掃描 機構,故針對掃描機構的適當控制對于降低整個裝置 的功耗具有至關重要的作用;
(2)微處理器自身的功耗;
(3)光電傳感器的功耗。
根據消防員在使用空氣呼吸器過程中,氣瓶壓力 的變化相對緩慢,故掃描機構完全沒有必要一直進行 連續掃描檢測壓力變化,可以在一次有效檢測壓力值 后,關閉掃描機構,定時若干秒以后再進行壓力的掃描 檢測,這樣可以大大降低整個檢測裝置的電能消耗。 同樣’微處理器在關閉掃描機構期間,一方面可以關閉 光電傳感器不消耗電能,另一方面可利用啟動內部定 時,并將微處理器設置進人掉電模式或其他低功耗模 式,等到定時時間到之后,喚醒微處理器開啟相應的外 圍功能部件進行壓力檢測,檢測完畢再次進人低功耗 模式。
考慮到實戰需要,可在電路中加人加速度傳感器, 結合光電傳感器,由微處理器判斷是否自動開機或者 關機。流程如下:
(1)當空氣呼吸器使用完畢,關閉氣閾,壓力歸 零,處于靜止備勤狀態,微處理器間歇檢測指針是否在 零位;數秒后,若加速度傳感器一直未有輸出,壓力也為 零,此時可以認為空氣呼吸器不再使用,此時檢測裝置 自動進入關機模式,只有加速度傳感器在低功耗運行。
(2)當打開靜止備勤狀態的氣閾,加速度傳感器 感應到運動輸出,產生中斷喚醒微處理器,微處理器檢測指針是否在零位,若不在零位則控制掃描機構進行 壓力的檢測掃描,實現了檢測裝置的自動開機。
3.結語
根據公安消防部隊對空氣呼吸器平視顯示裝置的 需求,本文提出了一種掃描式空氣呼吸器指針壓力表 數字化解決方案并設計開發了相應的檢測裝置,該裝 置不影響其原有的安全性能,無需改變現役普通空氣 呼吸器的氣路和結構即可低成本地實現壓力檢測的數 字化,并且具有較強的抗干擾能力,大大提髙了消防裝 備的數字化智能化水平。
上一篇:壓力表校驗儀的改進


